网站首页  词典首页


请输入您要查询的字词:

 

字词 角的概念和弧度制
类别 中英文字词句释义及详细解析
释义 角的概念和弧度制

1.角:角可以看成由一条射线绕著端点从一个位置旋转到另一个位置所成的图形,旋转开始时的射线叫做角α的始边;旋转终止时的射线叫做角α的终边;射线的端点叫做角α的顶点.

掌握角的概念应注意角的三要素:顶点、始边、终边.角可以是任意大小的.

2.角的分类

角的旋转方向是角分类的标准

3.在直角坐标系内讨论角

❶ 角的顶点在原点,始边在x轴的正半轴上,角的终边在第几象限,就说这个角是第几象限的角(或说这个角属于第几象限).这里强调以“角的顶点为原点,角的始边为x轴的非负半轴”为前提,否则就不能从终边的位置来判断某角属于第几象限.

❷ 若角的终边在坐标轴上,就说这个角不属于任何象限,它叫象限界角.

4.与α角终边相同的角的集合

{β|β=k·360°+α,k∈Z}.

这里应明确:
❶ k是整数;
❷ α是任意角;
❸ k·360°—30°应看成k·360°+(—30°)(k∈Z);
❹ 终边相同的角不一定相等,但相等的角,终边一定相同;
❺ 终边相同的角有无数多个,它们相差360°的整数倍.

5.正确理解角

要正确理解“0°~90°间的角”、“第一象限的角”、“锐角”和“小于90°的角”,这里应明确“0°~90°间的角”指的是一个前闭后开的区间0°≤θ<90°,后面三种角的集合可分别表示为{θ|k·360°<θ

6.弧度制

(1)规定:正角的弧度数为正数,负角的弧度数为负数,零角的弧度数为零.任一已知角α的弧度数的绝对值其中l为以角α作为圆心角时所对圆弧的长,r为圆的半径.

(2)这种用“弧度”做单位来度量角的制度叫做弧度制.

(3)比值与所取的圆的半径大小无关,而仅与角的大小有关.

7.弧度与角度的换算

(1)360°=2π弧度;

180°=π弧度;

(2)用弧度为单位表示角的大小时,“弧度”两字可以省略不写,但用度(°)为单位表示角时,度(°)就不能省略去.

用弧度为单位表示角时,常常把弧度数写成多少π的形式,如:

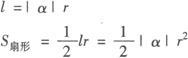
8.弧长公式、扇形面积公式

随便看

 

离鸟网收录3541549条中英文词条,其功能与新华字典、现代汉语词典、牛津高阶英汉词典等各类中英文词典类似,基本涵盖了全部常用中英文字词句的读音、释义及用法,是语言学习和写作的有利工具。

 

Copyright © 2004-2024 vtrois.com All Rights Reserved
更新时间:2026/5/25 14:33:38