解一元一次方程的步骤
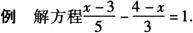
1.去分母:利用等式的基本性质,方程两边同时乘以各分母的最小公倍数,但要注意不要漏乘分母是1的项. 2.去括号:利用去括号法则,按先去小括号,再去中括号,最后去大括号的顺序. 3.移项:把含有未知数的项都移到方程的一边,已知项移到方程的另一边. 4.合并同类项:把未知数的系数相加,常数项相加,最终化成ax=b(a≠0)的形式. 5.系数化为1,用等式的基本性质,方程两边同时除以未知数的系数,得出方程的解x=b/a 注意 1.并不是所有的一元一次方程的解法都严格按照这一步骤顺序进行,要具体问题具体分析,并没有严格的先后,有些步骤还可能用不到. 2.解一元一次方程实质上就是利用等式的性质,进行一系列的变形,最终变成ax=b(a≠0)的形式. 3. 解方程不能连等.如:解方程x/5=3时,列成x/5=3=x=15便是错的.  解 去分母,得3(x-3)-5(4-x)=15. (注意: ❶ 分子加括号; ❷ 不要漏乘分母是1的项) 去括号,得3x-9-20+5x=15. (注意: ❸ 括号前的数要乘以括号内的每一项; ❹ 括号前面是负号,去掉括号时,括号内各项都变号) 移项,得3x+5x=15+9+20. (注意: ❺ 移项时不要漏项; ❻ 移项要变号,而在方程同一边移动项的位置时不变号) 合并同类项,得8x=44. (注意: ❼ 按合并同类项法则进行,不要漏项) 系数化为1,得x=11/22 (注意: ❽ 正确进行运算) [解析] 解方程时,需明确每一步在做什么变形,应该注意什么问题,同时还要从自己的错误中找原因,有针对性的纠正,不断总结经验教训. |