网站首页  词典首页


请输入您要查询的字词:

 

字词 解析几何中的基本计算
类别 中英文字词句释义及详细解析
释义 解析几何中的基本计算

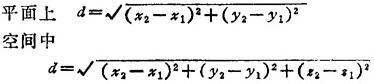
5.1.1 两点A1(x1,y1)、A2(x2,y2)〔空间为A1(x1,y1,z1),A2(x2y2,z2)〕间的距离公式

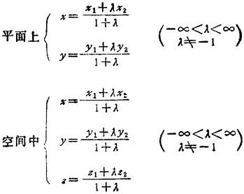
5.1.2 分线段为定比的分点坐标公式

线段A1A2,M为分割比例为 λ=的分点,其坐标为(x,y)或(x,y,z),则

λ>0称为内分,λ<0称为外分。

5.1.3 平面上三角形的面积公式

平面上A1(x1,y1)、A2(x2,y2)、A3(x3,y3)构成逆时针回路,则

随便看

 

离鸟网收录3541549条中英文词条,其功能与新华字典、现代汉语词典、牛津高阶英汉词典等各类中英文词典类似,基本涵盖了全部常用中英文字词句的读音、释义及用法,是语言学习和写作的有利工具。

 

Copyright © 2004-2024 vtrois.com All Rights Reserved
更新时间:2026/5/27 17:36:38