计数验收双次抽样方案的接受概率
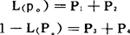
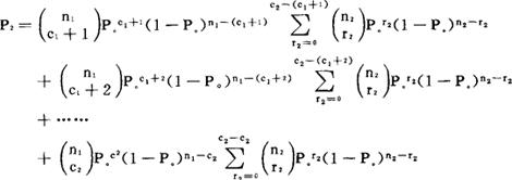
指按计数双次抽样方案对一批产品进行验收时总的接收概率。 设L(p。)为总的接收概率,则总的拒收概率为1-L(p。)。其计算公式如下:  式中:(1)P1表示抽取第一个样本后被接受时的接受概率。 其计算公式为:  式中:n1表示抽取第一个样本的件数;C1表示抽取第一个样本后不合格品判定数;r1表示第一个样本n1件中的不合格品数;P。表示送验一批产品的不合格品率。 (2)P4示抽取第一个样本后被拒收时的接受概率。其计算公式为:  式中:C2表示抽取第二个样本后两个样本不合格品数之和的判断数;其余字母同上。 (3)P2表示抽取第二个样本后被接收时的接受概率。其公式为:  式中:n2表示抽取第二个样本的件数;r2表示第二个样本中的不合格品数;其余字母同上。 (4)P3表示抽取第二个样本被拒收时的接受概率。其公式为:P3=1-P1-P2-P4 |