网站首页  词典首页


请输入您要查询的字词:

 

字词 计算天体的密度ρ
类别 中英文字词句释义及详细解析
释义 计算天体的密度ρ

若已知天体的半径R和质量M,则天体的体积为:V=4/3πR3

若测出该天体的环绕天体的轨道半径r及周期T,则可求得该天体的质量M(如前面的❷ 式),进而求得该天体的密度为:

若环绕天体在该天体表面附近运行,则r≈R,上式变为:❿ 

例 已知万有引力常量G,要计算地球的质量必须知道某些数据,现在给出下列各组数据,可以计算出地球质量的有哪些组( ).

A.地球绕太阳运行的周期T和地球离太阳中心的距离R

B.月球绕地球运行的周期T和月球离地球中心的距离R

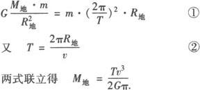
C.人造地球卫星在地面附近运行的速度v和运动周期T

D.地球半径R和同步卫星离地面的高度

分析 地球绕太阳运行时,由万有引力提供向心力,对地球,根据牛顿第二定律

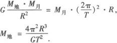
只能求出太阳的质量,无法求出地球的质量,因此A错,B项中,月球绕地球运行时,根据牛顿第二定律,对月球:

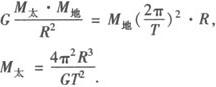
由此可求出地球的质量,B对,C项中,人造地球卫星在地面附近运行时,设人造地球卫星的质量为m,由牛顿第二定律,对卫星:

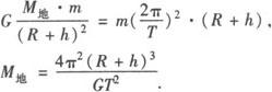
由此可求出地球质量,C对,D项中,设同步卫星的质量为m,离地面的高度为h,同步卫星的周期与地球自转周期相同,设为T,则对同步卫星:

由此可求出地球的质量,所以D对

答 B、C、D.

随便看

 

离鸟网收录3541549条中英文词条,其功能与新华字典、现代汉语词典、牛津高阶英汉词典等各类中英文词典类似,基本涵盖了全部常用中英文字词句的读音、释义及用法,是语言学习和写作的有利工具。

 

Copyright © 2004-2024 vtrois.com All Rights Reserved
更新时间:2026/4/7 1:07:29