网站首页  词典首页


请输入您要查询的字词:

 

字词 设备最佳更新期
类别 中英文字词句释义及详细解析
释义 设备最佳更新期

设备在经济上的最佳使用年限。

确定设备的经济寿命,即选择设备更新的最佳时期,是物资企业管理中一个十分重要的问题。选择设备最佳更新期的原则是:使设备的一次性投资和各年的维持费用总和达到最小。

其计算方法很多,常用的有设备低劣化数值法。简述如下:设备低劣化是指随著设备使用时间加长,有形损耗和无形损耗加剧,设备的维护、修理费用及燃料、动力等的消耗费用也要增加。假定设备低劣化每年以λ的数值增长,在设备使用年限(T)内,平均低劣化的数值应为λT/2;另一方面,设备在使用过程中,其价值发生转移,设K0代表设备的原始价值,T代表使用年限,则每年分摊的折旧费用为K0/T。现以y代表设备的年平均使用费用总和,则:

y=λT/2+K0/T

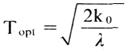
若使y值最小,则取dy/dT=0得:

式中,Topt表示设备的经济寿命,即最佳使用年限。

举例:某设备原始价值为2000元,设备的维护修理费用、燃料、动力消耗费用等随设备使用期加长,每年以160元的速度增长时,则:

即设备的经济寿命为5年。上面的结果,也可用逐年计算的办法求得,见下表:

设备经济寿命的计算(考虑利息因素)

从表中可以看出,在设备使用的第五年,总费用最小,即第五年末为设备的最佳更新期。上列计算未考虑各年费用的利息因素,如考虑利息因素时,应作适当修正。

随便看

 

离鸟网收录3541549条中英文词条,其功能与新华字典、现代汉语词典、牛津高阶英汉词典等各类中英文词典类似,基本涵盖了全部常用中英文字词句的读音、释义及用法,是语言学习和写作的有利工具。

 

Copyright © 2004-2024 vtrois.com All Rights Reserved
更新时间:2026/4/7 16:53:41