网站首页  词典首页


请输入您要查询的字词:

 

字词 设备的热损失计算及实例
类别 中英文字词句释义及详细解析
释义 设备的热损失计算及实例

1.一般计算

[说明]许多设备外壳壁面的温度通常高于周围介质的温度,故热量将由壁面以对流和辐射两种方式向周围散失。

式中 Q——总的热损失(W)

x——对流、辐射联合传热系数[W/(m2·℃)]

❶ 空气作自然对流时

在平壁保温层外:

在管道或圆筒等容器壁保温层外:

❷ 空气沿粗糙壁面作强制对流时

当空气流速u<5m/s时:

当空气流速u<5m/s时:

A.——设备外壁面积(m2)

t1——设备的壁温(℃)

t——环境温度(℃)

α1——对流传热系数[W/(m2·℃)]

α2——辐射传热系数[W/(m2·℃)]

[例]用厂用25m3蒸球蒸煮原料,已知蒸球的内径为3650mm,球壁厚度为14mm,球内平均工作温度140℃,日工作10h,环境平均温度15℃。后加50mm保温层,球外壁温度为50℃,求保温前后的年热损失及折算标煤量。

2.近似计算

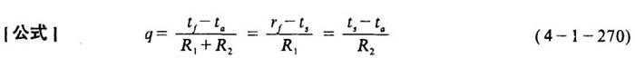
❶ 外径d<1m的管道及圆筒形设备的散热量

式中 q——热损失[kcal/(m·℃)]

tf——管内流体温度(℃)

tα——周围空气温度(℃)

ts——绝热层表面温度(℃)

R1——见下式

λ——绝热材料在其平均温度下的导热系数[kcal/(m·h·℃)

D1——绝热层外径(m)

D0——管道或圆筒形设备的裸露外径(m)

R2——见下式

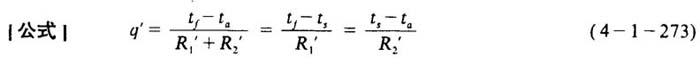
x1——有风时绝热层表面至周围空气间的总给热系数[kcal/(m2·h·℃)]❷ 平壁及外径d>1的管道及圆筒形设备的散热量

式中 q′——散热量[kcal/(m·℃)]

R1′——见下式

δ——绝热层厚度(m)

R2′——见下式

其它同上

随便看

 

离鸟网收录3541549条中英文词条,其功能与新华字典、现代汉语词典、牛津高阶英汉词典等各类中英文词典类似,基本涵盖了全部常用中英文字词句的读音、释义及用法,是语言学习和写作的有利工具。

 

Copyright © 2004-2024 vtrois.com All Rights Reserved
更新时间:2026/4/6 23:34:18