网站首页  词典首页


请输入您要查询的字词:

 

字词 证券市场线
类别 中英文字词句释义及详细解析
释义 证券市场线

如图1,以证券组合的预期收益率rp作纵坐标,以证券组合的标准差δp作横坐标,绘出证券组合的可行集和资本市场线。

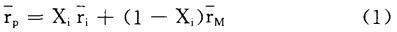
在可行集里,存在各种单一风险证券,任意选择一种证券,用i表示。设想一证券组合,用P表示,它包含证券i的投资比例是Xi,市场证券组合的投资比例是(1-Xi),这种证券组合的预期收益率等于:

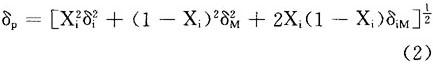
和标准差等于:

图1 推导证券市场线

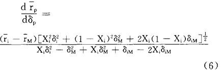
首先在(1)中,求rp对Xi的导数:

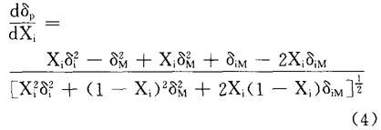
其次在(2)中,求δp对Xi的导数:

再次,考虑曲线iM的斜率,有如下表达形式:

最后,把(3)和(4)分别代入(5):

在曲线iM的端点M处,Xi=0,可计算出曲线iM的端点M处的斜率:

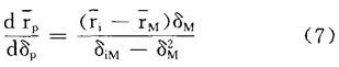
在点M处,资本市场线的斜率必然等于曲线iM的斜率,因此

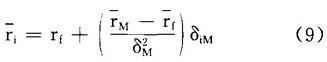
解方程(8),#i等于:

它表明了单一一种证券资产的风险和收益率之间的均衡关系,分别以证券的协方差风险δi和预期收益率ri为横坐标和纵坐标,在图2-a中,方程(9)代表具有截距rf和斜率[(rM-rf)/δ]的一条直线,证券的协方差风险δiM和预期收益率之间的这种关系称为证券市场线。

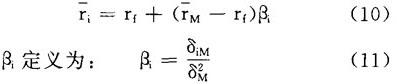
证券市场线的另一种表达方式如下:

βi项称为证券i的β系数,它代表一种证券的协方差风险。

如果以证券的预期收益率i为纵坐标,以βi为横坐标,则证券市场线也可以表现在图2-b中。

图2-a 协方差观点

图2-b β观点

随便看

 

离鸟网收录3541549条中英文词条,其功能与新华字典、现代汉语词典、牛津高阶英汉词典等各类中英文词典类似,基本涵盖了全部常用中英文字词句的读音、释义及用法,是语言学习和写作的有利工具。

 

Copyright © 2004-2024 vtrois.com All Rights Reserved
更新时间:2026/5/25 10:21:46