网站首页  词典首页


请输入您要查询的字词:

 

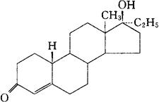
字词 诺乙雄龙
类别 中英文字词句释义及详细解析
释义 诺乙雄龙

C20H30O2=302.46

CAS-52-78-8

17α-乙基-17β-羟雌甾-4-烯-3-酮。

17α-Ethyl-17β-hydroxyestr-4-en-3-one.

17-羟-19-去甲孕甾-4-烯-3-酮。

l7-Hydroxy-19-norpregn-4-en-3-one.

17-乙基-19-去甲睾甾酮。

17-Ethyl-19-nortestosterone.

雄激素药,同化激素类药。

乙诺酮,乙基去甲睾酮,诺乙龙。

Norethandrolone,Nilevar,Pronabol,CB 8022,

Aethylestrenolone.

INN,BAN,BP,DCF,DCIT,NF,USAN,MI.

随便看

 

离鸟网收录3541549条中英文词条,其功能与新华字典、现代汉语词典、牛津高阶英汉词典等各类中英文词典类似,基本涵盖了全部常用中英文字词句的读音、释义及用法,是语言学习和写作的有利工具。

 

Copyright © 2004-2024 vtrois.com All Rights Reserved
更新时间:2026/5/25 10:32:39