网站首页  词典首页


请输入您要查询的字词:

 

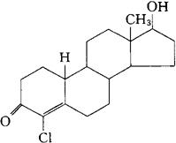
字词 诺司替勃
类别 中英文字词句释义及详细解析
释义 诺司替勃

C18H25C1O2=308.85

CAS-13583-21-6

4-氯-17β-羟雌甾-4-烯-3-酮。

4-Chloro-17β-hydroxyestr-4-en-3-one.

雄性激素药,蛋白同化激素药。

氯诺龙。

Norclostebol,Lentabol,CP-73,CKF 661l.

INN,NFN,USAN.

随便看

 

离鸟网收录3541549条中英文词条,其功能与新华字典、现代汉语词典、牛津高阶英汉词典等各类中英文词典类似,基本涵盖了全部常用中英文字词句的读音、释义及用法,是语言学习和写作的有利工具。

 

Copyright © 2004-2024 vtrois.com All Rights Reserved
更新时间:2026/4/7 22:58:28