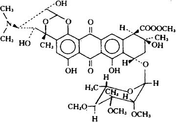
诺拉霉素
C39H49NO17=803.81 CAS-1404-15-5 诺加拉霉素。 Nogalamycin. 11-[6-去氧-3-C-甲基-2,3,4-三-O-甲基-α-L-甘露吡喃糖基)氧]-4-(二甲氨基)-3,4,5,6,9,11,12,13,14,16-十氢-3,5,8,10,13-五羟-6,13-二甲基-9,16-二氧-2,6-环氧-2H-并四苯并[1,2-b]氧-14-羧酸甲酯。 11-[(6-Deoxy-3-C-methyl-2,3,4-tri-O-methyl-α-L-mannopyranosyl)oxy]-4-(dimethylamino)-3,4,5,6,9,11,12,13,14,16-decahydro-3,5,8,10,13-pentahydroxy-6,13-dimethyl-9,16-dioxo-2,6-epoxy-2H-naphthaceno[1,2-b]oxocin-14-carboxylic acid methyl ester. 抗肿瘤药。 诺加拉霉素。 Nogalamycin,NSC-70845,U-15167. INN,USAN.  |