网站首页  词典首页


请输入您要查询的字词:

 

字词 诺美立定
类别 中英文字词句释义及详细解析
释义 诺美立定

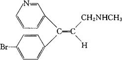
C15H15BrN2=303.20

CAS-60324-59-6

CAS-60324-59-6

(Z)-3-[1-(对-溴苯基)-3-(甲氨基)丙烯基]吡啶。

(Z)-3-[1-(p-Bromophenyl)-3-(methylamino)propenyl]pyridine.

3-(4-溴苯基)-N-甲基-3-(3-吡啶基)-2-丙烯胺。

3-(4-Bromophenyl)-N-methyl-3-(3-pyridyl)-2-propenamine.

抗抑郁药。

溴苯吡啶烯胺。

Nomelidine,Demethylzimelidine,Norzimelidine,A-24356,CPP-199.

INN,USAN.

随便看

 

离鸟网收录3541549条中英文词条,其功能与新华字典、现代汉语词典、牛津高阶英汉词典等各类中英文词典类似,基本涵盖了全部常用中英文字词句的读音、释义及用法,是语言学习和写作的有利工具。

 

Copyright © 2004-2024 vtrois.com All Rights Reserved
更新时间:2026/4/8 10:32:24