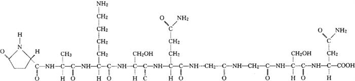
诺那莫林
C33H54N12O15=858.86 CAS-63958-90-7 N2-[N-[N-[N-[N2-[N-[N2-[N-(-5-氧代-L-脯氨酰)-L-丙氨酰]-L-赖氨酰]-L-丝氨酰]-L-谷氨酰胺酰]甘氨酰]甘氨酰]-L-丝氨酰]-L-天冬酰胺。 N2-[N-[N-[[N-[N2-[N-[N2-[N-(-5-Oxo-L-prolyl)-L-alanyl]-L-lysyl]-L-seryl]-L-glutaminyl]glycyl]glycyl]-L-seryl]-L-asparagine. INN,USAN.  |