调节底辊轴线角度控制中高的方法
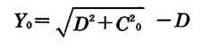
调节底辊轴线角度控制中高的方法是Farrel公司所提出,最初应用于塑料与橡胶工业。这一方法是按照最小线压力研磨底辊中高。当线压力提高时,则调节底辊轴线角度(原来底辊轴线是与次辊轴线重合,均与纸机中心线垂直的,调节底辊轴线就是使之与次辊辊线成一交角),使之在新的线压力下,底辊与次辊间的压区压力全幅尚能一致。 图11-6-17是调节底辊轴线角度控制中高方法的原理。 如图11-6-17所示,底辊轴线调节后,底辊中心与次辊中心的垂直距离由原来的O变成C0,底辊与次辊两端的间隙变为Y0,Y0的两倍即调节底辊轴线后新的中高值。Y0与C0及辊子直径直径间的关系如下:  |