网站首页  词典首页


请输入您要查询的字词:

 

字词 豆包菌
类别 中英文字词句释义及详细解析
释义 豆包菌

【名称出处】:《中国的真菌》

【概况】:

异名 酸酱菌(《西园菌谱》)。

基源 为硬皮马勃科豆马勃属真菌彩色豆马勃(豆包菌)的子实体。

原植物 彩色豆马勃(豆包菌)Pisolithus tinctorius(Pets.)Coker et Couch(P.arenariusAlb.et Schw),又名豆包(安徽),豆包菇(《新华本草

历史 日本涉江长伯《西园菌谱》载:“酸酱菌,马屁包,此乃耳聋菌之一种,初生如松露。内赤有圆子,形似酸酱子之状,故名。

形态 子实体呈不规则球形,直径2.5~11cm,下部突然缩小形成柄状基部;柄长1.5~5cm,直径1~3.5cm,有~团青黄色的菌丝束固定于基物上。包被薄,光滑易碎,初期米黄色,后变为淡锈色,最后变为青褐色,成熟时上部成片裂开脱落;内部有无数小包,埋藏于黑色胶质物中,小包黄色,以后变为褐色,不规则多角形,顶基扁,直径1~4mm。包内含孢子,包壁在空气中逐渐消失,使孢子散落;孢子球形,有刺,直径8~10μm,成堆时咖啡色。

(图见《中国药用真菌》.269页.图107)

生境与分布 生于树荫下草地,路边和旷野的砂砾地上。分布于江苏、安徽、浙江、江西、福建、河南、湖北、广东、广西、四川、云南。。【化学】:

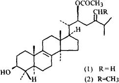
含三萜化合物[1]1、甾醇化合物[2~4]、脂肪酸成分[4]以及一种酞酸衍生物[5],其中甾醇类成分包括豆包菌甾醇(拟)(Pisosterol)(1)[2,3]、甲基豆包菌甾醇(拟)(Methylpisosterol)(2)[3]和麦角甾醇过氧化物(Er gosterol Peroxide)[4]

参考文献 [1] Phytochemistry 1988;27(11):3569 [2] Aust J Chem 1989;42(6):995 [3] Tetrahedron Lett 1985;26(21):2589 [4] Z Chem 1985;25(11):405 [5] Phytochemistry 1985;24(6):1351

【药性】:

性味 辛,平。

功效 清热,利咽,止血。

主治 咽喉炎,扁桃体炎:外用治外伤出血,痔疮出血,冻疮。

用法用量 内服:煎汤,3~6g。外用:适量,敷患处。

随便看

 

离鸟网收录3541549条中英文词条,其功能与新华字典、现代汉语词典、牛津高阶英汉词典等各类中英文词典类似,基本涵盖了全部常用中英文字词句的读音、释义及用法,是语言学习和写作的有利工具。

 

Copyright © 2004-2024 vtrois.com All Rights Reserved
更新时间:2026/4/7 12:31:15