网站首页  词典首页


请输入您要查询的字词:

 

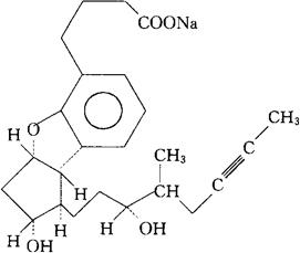
字词 贝前列素钠
类别 中英文字词句释义及详细解析
释义 贝前列素钠

C24H29NaO5=420.48

CAS-88475-69-8

CAS-88430-50-6(beraprost)

2,3,3a,8b-四氢-2-羟-1-(3-羟-4-甲基-1-辛烯-6-炔基)-1H-环戊并[b]苯并呋喃-5-丁酸单钠盐。

2,3,3a,8b-Tetrahydro-2-hydroxy-1-(3-hydroxy-4-methyl-1-octen-6-ynyl)-1H-cyclopenta[b]benzofuran-5-butanoic acid,monosodium salt.

(±)-(1R,2R,3aS,8bS)-2,3,3a,8b-四氢-2-羟基-1-[(E)-(3S,4RS)-3-羟基-4-甲基-1-辛烯-6-炔基]-1H环戊并[b]苯并呋喃-5-丁酸钠。

Sodium(±)-(1R,2R,3aS,8bS)-2,3,3a,8b-tetrahydro-2-hydroxy-1-[(E)-(3S,4RS)-3-hydroxy-4-methyl1-oct-en-6-ynyl]-1H-cyclopenta[b]benzofuran-5-butyrate.

前列腺素。

Beraprost Sodium,TRK-100,ML-1129,MDL201129.

USAN.

随便看

 

离鸟网收录3541549条中英文词条,其功能与新华字典、现代汉语词典、牛津高阶英汉词典等各类中英文词典类似,基本涵盖了全部常用中英文字词句的读音、释义及用法,是语言学习和写作的有利工具。

 

Copyright © 2004-2024 vtrois.com All Rights Reserved
更新时间:2026/4/7 3:57:23