网站首页  词典首页


请输入您要查询的字词:

 

字词 贝叶斯决策分析法
类别 中英文字词句释义及详细解析
释义 贝叶斯决策分析法

设法获得并修正自然状态的概率分布,从而计算各决策方案的期望损益,并选择期望收益最大的方案的决策分析方法。

决策的重要依据在于对未来的了解,也就是各种自然状态发生的概率。决策者在决策时或多或少总能得到自然状态的概率分布。根据概率分布性质的不同,有以下两种情况的决策:

无信息的贝叶斯方法 当自然状态的概率分布是从以前的经验或直观判断得到的(即先验概率),则决策方法为无信息的贝叶斯方法。

其过程多要借助决策损益表(参见“风险型决策分析法”)。

例:某公司决定生产一种新产品。生产方式有:A1大批量,A2中批量和A3小批量三种。

市场状态在Q1销路好,Q2销路一般和Q3销路较差。设市场三种可能状态的先验概率分布为1/2、1/3、1/6,见表11-25,求最优决策。

表11-25 单位:万元

从表中可以看出A2的期望收益最大,故挑选A2作为最优方案。

从以上例子可以看出,在无信息的条件下的贝叶斯决策与一般的期望值概率决策是相同的。

有信息的贝叶斯方法 根据已获得的信息,决策者可以改进其决策过程。有信息的贝叶斯决策方法是先获得随机变量x为某一定值时自然状态的后验分布,然后再用该分布计算各方案的期望收益。

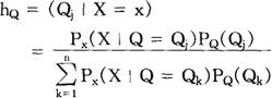
后验概率hQ(Qj|X=x)的计算公式为:

式中:PQ(Qj),PQ(Qk)——Q在为Qj或Qk时的先验分布;Px(X|Q=Qj)——已知Q=Qj时x的分布条件。

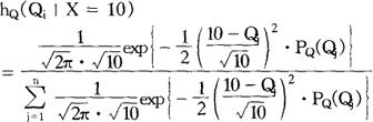
例:在工厂大修即将来临之时,设备科决定应贮存大量(A1),中等数量(A2),少量(A3)的某仪表。

假设由过去的数据可知每年大修时该仪表的需要量Q服从正态分布,平均值为5(Q1),10(Q2)和15(Q3)单位,其概率分别为0.2、0.5、0.3,方差为10,且已知各方案在各状态的收益,求最优方案。

解:根据往年的大修情况,估计今年仪表需要量为10单位。据此先求出后验分布:

将Qj=5、10、15分别代入,可得:

此时决策损益表如表11-26:

表11-26 单位:万元

由此可以看出应取A2为最优方案。从这个例子可以看出贝叶斯决策的关键就在于利用已知信息对先验概率加以调整,使之更现实。

随便看

 

离鸟网收录3541549条中英文词条,其功能与新华字典、现代汉语词典、牛津高阶英汉词典等各类中英文词典类似,基本涵盖了全部常用中英文字词句的读音、释义及用法,是语言学习和写作的有利工具。

 

Copyright © 2004-2024 vtrois.com All Rights Reserved
更新时间:2026/5/25 10:28:37