网站首页  词典首页


请输入您要查询的字词:

 

字词 财政收入总量变化分析
类别 中英文字词句释义及详细解析
释义 财政收入总量变化分析

描述和反映财政收入总量的数量变化规律及其发展趋势的方法。

财政收入总量变化分析的主要内容是:建立恰当的数学模型,预测财政收入总量的变化趋势,寻找影响财政收入总量变化的基本因素。通过财政收入总量变化分析,为合理确定适度的财政收入规模、财政分配的科学决策提供参考依据。因为多方程联立模型利用联立方程组的形式,能容纳多个变量,能多功能地反映事物变化的复杂关系,所以,它是分析财政收入总量变化的合适的方法。其分析步骤如下:第一步,建立财政收入总量的平衡式。

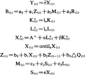
设F(t)代表财政收入总量;Y(t)代表税收总额;B(t)代表公债;V(t)代表其他财政收入,则:F(t)=Y(t)+B(t)+V(t)(式中:t代表年份)。第二步,建立反映财政收入总量中各分量变化的方程式。

设X(t)为总产值,个人收入为Z(t),企业留利为M(t),地方机动财力为R(t),则有:

Y(t)=X(t)

B(t)=a0+a1Z(t)+a2M(t)+a3R(t)

式中:为平均税率;ai为待估参数;(i=0、1、2、3)。第三步,对第二步所建方程的有关变量再进行分析。

总产值影响税收,而总产值又主要受投入的劳动量与资金量的制约。根据柯布——道格拉斯生产函数有:X(t)=式中:L(t)为投入的劳动量;K(t)为投入的资金;A、α、β为待定参数。

该函数是非线性函数,联立求解很麻烦,为此,需要将函数转化为线性函数。对X(t)=两边取自然对数有:

lnX(t)=lnA+2lnL(t)+βlnK(t)

令lnX(t)=;lnA=A*;lnL(t)=;lnK(t)=

则有 =A*

X(t)=αntiln

将X(t)=转换为=A*,同时将原始数据转换成对应的自然对数,完成方程的线性化。

个人收入主要受总产值、上年个人收入和净增就业人数的影响。设△Q(t)为t年新增就业人数,有:Z(t)=b0+b1X(t)+b2Z(t-1)+b2△Q(t)式中:br为待估参数,(r=0、1、2)

企业留利主要受盈利额和劳动人数影响。设S(t)为盈利额,有:M(t)=C0+C1S(t)+C2L(t)式中:Cj为待估参数,(j=0、1、2)

设e为平均产值盈利率则有:S(t)=eX(t)

方程的建立是否还应进行,主要看模型的要求和外生变量确定的情况。

在本模型中,方程建立到此结束。

第四步,联立方程。财政收入总量的多方程联立模型为:F(t)=Y(t)+B(t)+V(t)

式中:内生变量:Y(t)、F(t)、X(t)、B(t)、Z(t)、M(t)、S(t);外生变量:V(t)、Z(t)、M(t)、S(t);外生量:V(t)、R(t)、Z(t-1)、△Q(t)、L(t)、K(t)、r、A*、α、β、at、br、cj、e为待估参数。

模型识别与参数估计。多方程联立模型在参数估计之前要进行模型识别。

根据识别的结果对模型作出判断,选择恰当的估计方法。参数估计方法主要有:间接最小平方法、工具变量法、二阶最小平方法、有限信息最大似然法、混合估计法、三阶最小平方法、充分信息最大似然法,等等。

随便看

 

离鸟网收录3541549条中英文词条,其功能与新华字典、现代汉语词典、牛津高阶英汉词典等各类中英文词典类似,基本涵盖了全部常用中英文字词句的读音、释义及用法,是语言学习和写作的有利工具。

 

Copyright © 2004-2024 vtrois.com All Rights Reserved
更新时间:2026/5/27 8:55:43