网站首页  词典首页


请输入您要查询的字词:

 

字词 质谱仪的工作原理
类别 中英文字词句释义及详细解析
释义 质谱仪的工作原理

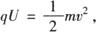
如上图所示,设注入加速电场的带电粒子带电量为+q、质量为m,电场两板间电压为U、粒子出电场后垂直进入磁感应强度为B2的匀强磁场.

在加速电场中,由动能定理得

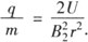
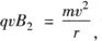
在偏转磁场中,由牛顿第二定律:

若粒子电荷量q也未知,通过质谱仪可求出该粒子的比荷(电荷量与质量之比)

随便看

 

离鸟网收录3541549条中英文词条,其功能与新华字典、现代汉语词典、牛津高阶英汉词典等各类中英文词典类似,基本涵盖了全部常用中英文字词句的读音、释义及用法,是语言学习和写作的有利工具。

 

Copyright © 2004-2024 vtrois.com All Rights Reserved
更新时间:2026/4/7 14:28:23