网站首页  词典首页


请输入您要查询的字词:

 

字词 贮浆池容积的计算
类别 中英文字词句释义及详细解析
释义 贮浆池容积的计算

【公式】

式中 V——所需贮浆池的容积(m3)

Q——所需贮存的浆料量(t/h)(绝干)

T——贮浆时间(h),视所在部位不同而异,筛后贮浆池一般要求贮存4~8h,有时也多至12~16h;对于纸机前贮浆池,一般低速纸机3~4h,中速纸机1~2h,高速纸机0,5~0.8h

C——贮存浆料浓度(%),一般为3~4%

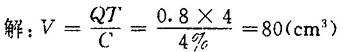
【例】 纸厂纸机前需贮存绝干浆量为0.8th,浆浓4%.连续生产时间为4h.求浆池容积。

【注意】 贮浆池有卧式和立式两大类,常用规格有25、50、75、100、150、200m3.最大可达500m3,实际应用中可根据上述计算按规格确定。

随便看

 

离鸟网收录3541549条中英文词条,其功能与新华字典、现代汉语词典、牛津高阶英汉词典等各类中英文词典类似,基本涵盖了全部常用中英文字词句的读音、释义及用法,是语言学习和写作的有利工具。

 

Copyright © 2004-2024 vtrois.com All Rights Reserved
更新时间:2026/4/8 13:20:20