贸易差额弹性
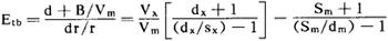
指贸易差额对汇率的反应弹性。 研究贸易差额弹性可以使人们了解外汇市场的稳定与进出口需求弹性成正比,了解货币贬值对贸易差额的影响及条件。贸易差额对汇率的弹性计算公式为:  式中:Etb为贸易差额的反应弹性;TB为贸易差额;r为汇率或汇价;Vx,Vm为货币贬值前的出口值和进口值;dx,dm为出口和进口的需求弹性;Sx,Sm为出口和进口的供给弹性。 运用上式计算货币贬值对贸易差额的影响,只需把弹性估计值代入上式。 例如,假设dm=dx=-∞,则 ,只要Etb>0,货币贬值就会改善贸易差额;只要贬值前 ,那么,改善贸易差额必须具备条件是|dx+dm|>1,即出口和进口的需求弹性的绝对值必须大于1。 |