网站首页  词典首页


请输入您要查询的字词:

 

字词 资本市场线
类别 中英文字词句释义及详细解析
释义 资本市场线

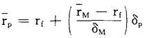
资本市场线的斜率等于市场证券组合预期收益率与无风险证券预期收益率之差(Mrf),然后除以它们的风险差(δM-0),即(rMrf)/δM,由于资本市场线的垂直截距是rf,资本市场线的特征可用下列方程描述:

资本市场线的垂直截距常常被视为是时间等待的报酬,其斜率常被认为是承受每一单位风险的报酬

随便看

 

离鸟网收录3541549条中英文词条,其功能与新华字典、现代汉语词典、牛津高阶英汉词典等各类中英文词典类似,基本涵盖了全部常用中英文字词句的读音、释义及用法,是语言学习和写作的有利工具。

 

Copyright © 2004-2024 vtrois.com All Rights Reserved
更新时间:2026/4/9 10:36:19