网站首页  词典首页


请输入您要查询的字词:

 

字词 资本资产定价模型
类别 中英文字词句释义及详细解析
释义 资本资产定价模型

资本资产定价模型是描述在市场中如何对证券进行定价的一种经济模型。

它假定:
❶ 投资者依赖考察一段时间内的证券组合的预期收益率和标准差来评价证券组合。
❷ 当给定两个其他方面等同的证券组合,投资者将选择具有较高收益率的一种证券组合。
❸ 当给定两个其他方面等同的证券组合,投资者将选择具有较小标准差的一种证券组合。
❹ 单一一种资产无限可分,意味著投资者能按任意数量比例购买他所企望的资产。

❺ 投资者可以以同样的无风险利率贷出或借入货币。
❻ 税收和交易成本不予考虑。除了上述假定外,还有:所有投资者都处在同一水平阶段;对所有投资者来讲,无风险利率是等同的;可以免费和不断地获得有关信息;投资者具有齐次预期,即他们对证券的预期收益率、标准差和协方差看法一致。当这些假定条件得到满足后,市场进入均衡状态。

第一,每一个投资者都想要持有一定数量的每一种风险资产。第二,目前每一种证券的市场价格使得对证券的需求是等于已发行的数量。

第三,无风险利率使借入货币量等于贷出货币量。此时处于均衡下证券组合比例相当于市场证券组合的比例。

市场证券组合是包含对所有证券投资的证券组合,其中每一种证券的投资比例等于它的相对市场价值。一种证券的相对市场价值等于这种证券总的市场价值除以所有证券总的市场价值。如果分别以代表有效证券组合的预期收益率p和标准差δp作为纵坐标和横坐标,如图,则点M代表市场证券组合,rf代表无风险收益率,有效证券组合位于连接M和rf的直线上。直线上的每一点都表示由市场证券组合和无风险借或贷综合计算出的收益与风险的集合,这个线性有效集合称为资本市场线。

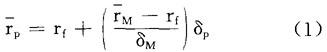
除了市场证券组合和无风险借或贷构成的证券组合外,其他所有证券组合都位于资本市场线的下方。资本市场线的特征可用下列方程(1)描述:

资本市场线表明有效证券组合预期收益率和标准差之间的均衡关系。

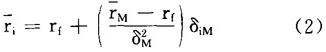
单一一种证券预期收益率和标准差之间精确的均衡关系如下:

ri代表i种证券的收益率,δiM代表证券i和市场证券组合的协方差,方程(2)代表具有截矩rf和斜率[(rM-rf)/δ]的一条直线,证券的协方差风险和预期收益率之间的这种关系称为证券市场线。证券市场线的另一种表达方法如下:ri=rf+(M-rfi定义βi=,称为证券i的β系数,它代表一种证券的协方差风险。

证券市场线分别以协方差δiM和βi为横坐标和纵坐标的图形表示,如图。可以观察到,一种证券的预期收益率与β系数是正的线性相关关系。证券的β系数越大,它的预期收益率越高。一种证券的β系数因而是对证券风险的相关测定。

(a)协方差观点

(b)β系数观点

证券市场线

随便看

 

离鸟网收录3541549条中英文词条,其功能与新华字典、现代汉语词典、牛津高阶英汉词典等各类中英文词典类似,基本涵盖了全部常用中英文字词句的读音、释义及用法,是语言学习和写作的有利工具。

 

Copyright © 2004-2024 vtrois.com All Rights Reserved
更新时间:2026/4/7 15:49:09