网站首页  词典首页


请输入您要查询的字词:

 

字词 资本边际效率
类别 中英文字词句释义及详细解析
释义 资本边际效率

当一项资产的供给价格没有上升变化时,若将该资产的一系列预期未来净收入按某一贴现率折现为恰好等于其供给价格的现值,则该贴现率便叫作资本边际效率。

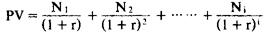
用公式来表示有:

其中PV为等于资产供给价格的现在值,各个N值为该资产在其有效使用期间预期可得的年收益,r便是资本边际效率。

资本边际效率这一概念是由凯恩斯在其名著《就业、利息和货币通论》一书中首先提出来的。运用这一概念与市场流行的利息率相比较,便可以确定一项资产的投资是否有利,因此它成为企业进行投资决策和资产选择时一个重要工具。按照凯恩斯当时的观点,随著投资量的增加,由于边际生产力递减规律的作用会导致资产预期收益N的减少;另一方面因为资本品生产中成本递增,又会引致资产供给价格PV的提高。

其结果,必然使资本边际效率r趋于下降。当资本边际效率低于市场利息率时,投资需求减弱,从而发生有效需求不足。

因此,从宏观经济学角度来说,资本边际效率是凯恩斯宏观经济学理论体系中一个重要支柱。然而,某些现代凯恩斯主义者(例如约翰·伊特威尔)认为,资本边际效率这一概念具有浓厚的新古典的色彩,它的论证在一些方面是不正确的,因而需要重新加以探讨。

需要注意,资本边际效率与投资边际效率(Marginal Efficiency of Investment)有所不同,后者亦称内部收益率,它指的是当一项资产的供给价格在短期发生向上变化即提高时,将该资产的一系列预期未来净收入折现为其供给价格时的贴现率。在短期中,均衡投资决定于投资边际效率与利息率二者的均等点。在长期中,均衡的资本存量则取决于资本边际效率与利息率二者之均等点。

随便看

 

离鸟网收录3541549条中英文词条,其功能与新华字典、现代汉语词典、牛津高阶英汉词典等各类中英文词典类似,基本涵盖了全部常用中英文字词句的读音、释义及用法,是语言学习和写作的有利工具。

 

Copyright © 2004-2024 vtrois.com All Rights Reserved
更新时间:2026/4/8 9:18:10