资本边际效率
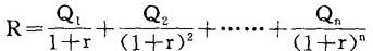
使未来收益折算成现值时恰好等于新增资本设备的重置成本的贴现率,或者使投资等于折成现值的预期收益的预期利润率。 这个概念最早是由英国经济学家凯恩斯在《通论》中提出来的。用Q1、Q2、……Qn代表一笔投资的未来一系列年份的预期收益,R代表重置成本或投资量,r代表资本边际效率,则有如下计算资本边际效率的公式:  凯恩斯的资本边际效率不同于现实的利润率。这一概念强调了:第一,心理因素,即投资者对未来收益所作的心理上的估计。第二,时间因素,即未来能得到的收益。 第三,不确定性,即未来收益的变动性。凯恩斯认为,资本边际效率是随投资增加而递减的,这正是引起总需求不足的重要原因之一。 |