资源分配规划
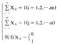
亦称“分派问题”。 应用于合理分配资源或制订合理的工作分派方案,使所得最大或所费最少。它是又一类重要的线性规划专门问题。 设有m种资源A1,A2,…,Am,另有n项“活动”(任务)B1,B2,…,Bn。 由于“活动”的性质各异,每种资源完成某项“活动”所产生的效能或效益亦不尽相同。 若已知资源 完成“活动”Bj产生的效益为Cij,在完全分配的情况下(即m=n),即每一种资源能够而且只能够分配担当一项“活动”时,应如何分配资源才能使之产生的总效益为最佳。如果这种效益是指完成任务所需工时或费用而言,就是最小分配问题,若是指完成任务的价值来说,就是最大分配问题。 它们的数学模型是: 给定一个效益矩阵: C=(Cij)m×n, 求一个分派矩阵: X=(Xij)m×n, 满足约束条件:  使得目标函数达到: 
|