资金成本
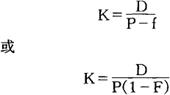
企业为筹集和使用资金而付出的代价。 从广义讲,企业筹集和使用任何资金,不论短期的还是长期的,都要付出代价。狭义的资金成本仅指筹集和使用长期资金(包括自有资金和借入长期资金)的成本,又称资本成本。 资金成本包括资金筹集费和资金占用费两部分。资金筹集费指在资金筹集过程中支付的各项费用,如发行股票、债券支付的印刷费和广告费等。 资金占用费是指占用资金支付的费用,如股票的股息,银行借款、发行债券的利息,等等。资金占用费是筹资企业经常发生的;而资金筹集费通常在筹集资金时一次性发生,在计算资金成本时从筹资金额中扣除。 资金成本是企业财务管理中的重要概念。从企业筹资来讲,资金成本是选择资金来源、确定筹资方案的重要依据,企业要选择资金成本最低的筹资方式。 从企业投资来讲,资金成本是评价投资项目、决定投资项目取舍的重要标准,投资项目只有在其投资收益率高于资金成本时才是可接受的,否则将无利可图。资金成本还是衡量企业经营成果的尺度,经营利润率应高于资金成本,否则表明经营不利,业绩欠佳。 资金成本通常用资金成本率表示。资金成本率是企业资金占用费与实际筹集资金的比率,用公式表示如下:  式中:K——资金成本率;D——资金占用费;P——筹资金额;f——资金筹集费;F——筹资费率,即资金筹集费占筹资金额的比率。 |