网站首页  词典首页


请输入您要查询的字词:

 

字词 赛克利嗪
类别 中英文字词句释义及详细解析
释义 赛克利嗪

C18H22N2=266.39

CAS-82-92-8

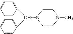
1-(二苯甲基)-4-甲基哌嗪。

1-(Diphenylmethyl)-4-methylpiperazine.

抗组胺药。用于治疗呕吐、眩晕和控制晕动病。

吗嗪,二苯甲嗪。

Cyclizine,Marezine.

乳酸吗嗪注射液。

INN,BAN,BP,DCF,DCIT,IP,NF,NFN,USAN,USP,MI.

随便看

 

离鸟网收录3541549条中英文词条,其功能与新华字典、现代汉语词典、牛津高阶英汉词典等各类中英文词典类似,基本涵盖了全部常用中英文字词句的读音、释义及用法,是语言学习和写作的有利工具。

 

Copyright © 2004-2024 vtrois.com All Rights Reserved
更新时间:2026/4/7 12:58:21