网站首页  词典首页


请输入您要查询的字词:

 

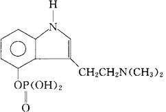
字词 赛洛西宾
类别 中英文字词句释义及详细解析
释义 赛洛西宾

C12H17N2O4P=284.25

CAS-520-52-5

3-(2-二甲氨基乙基)吲哚-4-基磷酸二氢酯。

3-(2-Dimethylaminoethyl)indol-4-yl dihydrogen phosphate.

致幻药,抗精神病药。

西洛西宾。

Psilocybine,CY 39.

INN,DCF,USAN,MI.

随便看

 

离鸟网收录3541549条中英文词条,其功能与新华字典、现代汉语词典、牛津高阶英汉词典等各类中英文词典类似,基本涵盖了全部常用中英文字词句的读音、释义及用法,是语言学习和写作的有利工具。

 

Copyright © 2004-2024 vtrois.com All Rights Reserved
更新时间:2026/5/28 20:55:51