网站首页  词典首页


请输入您要查询的字词:

 

字词 赠与成分
类别 中英文字词句释义及详细解析
释义 赠与成分

根据贷款的利率宽限期和收益率等数据,计算出衡量贷款优惠程度(赠与因素所占百分比)的综合性指标。

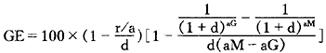
国际通用的计算赠与成分百分比的公式为:

式中,GE为赠与成分,即按贷款面值赠与因素所占百分比;r为年利率;a为每年偿付项;d为贷款期内的贴现率,一般按综合率10%计算(这是OECD在长时间内确定的惯例);G为宽限制;M为偿还期。

随便看

 

离鸟网收录3541549条中英文词条,其功能与新华字典、现代汉语词典、牛津高阶英汉词典等各类中英文词典类似,基本涵盖了全部常用中英文字词句的读音、释义及用法,是语言学习和写作的有利工具。

 

Copyright © 2004-2024 vtrois.com All Rights Reserved
更新时间:2026/5/30 17:12:45