网站首页  词典首页


请输入您要查询的字词:

 

字词 起重搬运设备的生产能力计算
类别 中英文字词句释义及详细解析
释义 起重搬运设备的生产能力计算

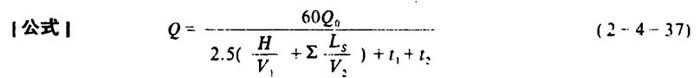
[说明]对于桥式起重机的生产能力可用下式计算。

式中 Q——每小时产量(m3/h)

Q0——每次起吊量(m3)

H——起吊高度(m)

V1——起吊速度(m/min)

V——水平移动速度(m/min)

L——水平移动距离(m)

t1——抓取时间(min),在2~3min左右

t2——放料时间(min),一般在1~2min

2.5——工作不平衡系数

随便看

 

离鸟网收录3541549条中英文词条,其功能与新华字典、现代汉语词典、牛津高阶英汉词典等各类中英文词典类似,基本涵盖了全部常用中英文字词句的读音、释义及用法,是语言学习和写作的有利工具。

 

Copyright © 2004-2024 vtrois.com All Rights Reserved
更新时间:2026/4/5 17:43:30