网站首页  词典首页


请输入您要查询的字词:

 

字词 超几何分布
类别 中英文字词句释义及详细解析
释义 超几何分布

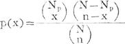
指在下列情况下的概率分布:总体中有N个单位,其中含有某特征A的单位数为Np,不具有某特征的单位数为N-Np,从中一次随机抽取n个单位构成样本;用x表示样本中具有特征A的单位数,样本中不具有特征A的单位数为n-x;则求得x个具有特征A的单位数的概率为:

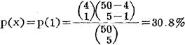
例如:已知50个产品中,有4个次品,现从中随机抽取5个,则有1个次品的概率为:

当N很大而n较小时,它可用二项分布作近似计算。超几何分布常用于产品质量检验

随便看

 

离鸟网收录3541549条中英文词条,其功能与新华字典、现代汉语词典、牛津高阶英汉词典等各类中英文词典类似,基本涵盖了全部常用中英文字词句的读音、释义及用法,是语言学习和写作的有利工具。

 

Copyright © 2004-2024 vtrois.com All Rights Reserved
更新时间:2026/4/6 19:28:58