超松弛迭代法
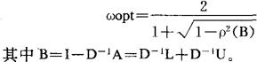
给定线性代数方程组  若aii≠0(i=1,2,…n),则解方程组(1)的超松弛选代程序为:  i=1,2,…n,k=0,1,… 其中 为任意初值。 将A分解为A=D-L-U,其中L,U分别为A的下、上三角部分(不包括对角元素),D为A的主对角元素所构成的对角矩阵,则(2)可写成下列形式: Xk+1=X(k)+ωD-1(b+LX(k+1)-DX(k)+UX(k), 或 X(k+1)=SωX(k)+fω, 其中Sω=(D-ωL)-1((1-ω)D+ωU) fω=ω(D-ωL)-1b 设Sω的特征值为λi(Sw),记 ,当A是实对称正定矩阵时,超松弛迭代程序总是收敛的指X(k)趋向于方程组的解X(*)。而对任意矩阵A,当且仅当ρ(Sw)<1时,迭代程序才是收敛的,且ρ(Sw)越小收敛的越快。因此ω的选取最好能使得ρ(Sω)取最小值,这个最小值所对应的ω称为最佳松弛因子,把它记为ωopt。 若A是对称正定矩阵且具有相容次序,则  |