网站首页  词典首页


请输入您要查询的字词:

 

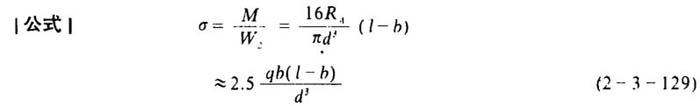
字词 轴颈所受之弯曲应力计算
类别 中英文字词句释义及详细解析
释义 轴颈所受之弯曲应力计算

式中 σ——弯曲应力(MPa),对于小型管辊,常用45号钢的轴颈,通常取[σ]≤60MPa;对于大型管辊的45号钢轴颈,[σ]往往取得更低些

W2——轴颈截面模数(m3)

d——轴颈直径(m)

M——管辊两端轴颈的危险断面(在闷头的外端面处)时的弯矩(N·m)

其它同上

随便看

 

离鸟网收录3541549条中英文词条,其功能与新华字典、现代汉语词典、牛津高阶英汉词典等各类中英文词典类似,基本涵盖了全部常用中英文字词句的读音、释义及用法,是语言学习和写作的有利工具。

 

Copyright © 2004-2024 vtrois.com All Rights Reserved
更新时间:2026/4/9 3:50:45