网站首页  词典首页


请输入您要查询的字词:

 

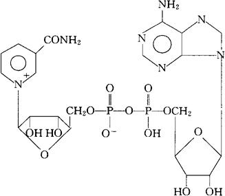
字词 辅酶
类别 中英文字词句释义及详细解析
释义 辅酶

C21H27N7O14P2=663.43

CAS-53-84-9

腺苷5′-(三氢二磷酸盐),5′→5′-酯与3-(氨基羰基)-1-β-D-呋喃核糖基吡啶鎓氢氧化物,内盐。

Adenosine 5′-(trihydrogen diphosphate),5′-→5′-ester with 3-(aminocarbonyl)-1-β-D-ribofuranosylpyridinium,hydroxide,inner salt.

3-氨基甲酰-1-β-D-呋喃核糖基吡啶鎓氢氧化物,5-酯与腺苷5′-焦磷酸,内盐。

3-Carbamoyl-1-β-D-ribofuranosylpyridinium hydroxide,5′-ester with adenosinee 5′-pyrophosphate,in ner salt.

辅脱氢酶 I。

Codehydrogenase I.

解毒药。

Nadide,DPN,CO-I,NAD,NSC-20272.

INN,USAN.

随便看

 

离鸟网收录3541549条中英文词条,其功能与新华字典、现代汉语词典、牛津高阶英汉词典等各类中英文词典类似,基本涵盖了全部常用中英文字词句的读音、释义及用法,是语言学习和写作的有利工具。

 

Copyright © 2004-2024 vtrois.com All Rights Reserved
更新时间:2026/4/5 18:54:02