网站首页  词典首页


请输入您要查询的字词:

 

字词 辅酶A
类别 中英文字词句释义及详细解析
释义 辅酶A

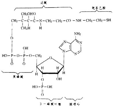
转移酶辅酶的一种,简写为CoA。

为3′-磷酸腺苷与泛酰-β-巯基乙胺-4′-焦磷酸形成的酯。含有维生素B3。巯基是其功能基团,故又可写成CoASH。

为一些酰基转移酶的辅酶,在代谢反应中起传递酰基的作用。

随便看

 

离鸟网收录3541549条中英文词条,其功能与新华字典、现代汉语词典、牛津高阶英汉词典等各类中英文词典类似,基本涵盖了全部常用中英文字词句的读音、释义及用法,是语言学习和写作的有利工具。

 

Copyright © 2004-2024 vtrois.com All Rights Reserved
更新时间:2026/5/30 21:00:55