辊子中高度对毛毯线的影响
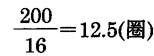
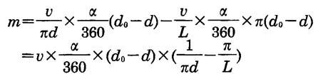
举例:如压榨辊直径800mm,中高为0.7mm,毛毯长16m,毛毯包角90°,辊子转一圈毛毯中间比两侧超前:  如纸机车速为200m/min,压榨辊每分钟转的圈数为:  则每分钟毛毯中间因中高产生超前值为:  毛毯两侧长度为16m,毛毯中间长度为:  即毛毯转一圈,中间要滞后  抄速为200m/min,则毛毯每分钟运行圈数为:  因此毛毯中间每分钟滞后  超前减去滞后,每分钟尚超前  当然由于毛毯和辊面间实际上存在一定的滑动,因此实际上的超前值不会这么大。但是要有一定的超前却是肯定的。 若将上述情况归纳成一个公式  式中 v——车速,m/min m——毛毯超前值,m/min α——毛毯在压榨辊上的包角,度 d——压榨辊两端的直径,m d0——压榨辊中间的直径,m L——毛毯长,m 从这个公式,可以看出以下几点: 车速越高,越前值越大;包角越大,超前值越大;中高越大,超前值越大;毛毯越长,超前值越大。 |