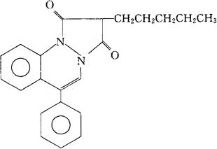
辛喷他宗
C22H22N2O2=346.43 CAS-2056-56-6 2-戊基-6-苯基-1H-吡唑并[1,2-α](噌)肉啉-1,3(2H)-二酮。 1H-Pyrazolo[1,2-a]cinnoline-1,3(2H)-dione,2-pentyl-6-phenyl-. 2-戊基-6-苯基-1H-吡唑并[1,2-a]噌啉-1,3(2H)-二酮。 2-Pentyl-6-phenyl-1H-pyrazolo[1,2-a]cinnoline-1,3(2H)-dione. 消炎药。 逊大唑,西诺戊宗,西诺他宗。 Cinnopentazone,Cintazone,AHR-3015,Scha-306,NSC-102825. INN,USAN.  |