网站首页  词典首页


请输入您要查询的字词:

 

字词 辛西泽
类别 中英文字词句释义及详细解析
释义 辛西泽

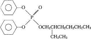
C20H27O4P=362.40

CAS-1241-94-7

磷酸,2-乙基己基二苯酯。

Phosphoric acid,2-ethylhexyl diphenyl ester.

2-乙基己基二苯磷酸酯。

2-Ethylhexyl diphenyl phosphate.

药用辅料。

Octicizer.

USAN.

随便看

 

离鸟网收录3541549条中英文词条,其功能与新华字典、现代汉语词典、牛津高阶英汉词典等各类中英文词典类似,基本涵盖了全部常用中英文字词句的读音、释义及用法,是语言学习和写作的有利工具。

 

Copyright © 2004-2024 vtrois.com All Rights Reserved
更新时间:2026/4/7 20:32:29