网站首页  词典首页


请输入您要查询的字词:

 

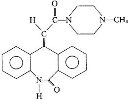
字词 达仑西平
类别 中英文字词句释义及详细解析
释义 达仑西平

C21H21N3O2=347.42

CAS-90274-22-9

(E)-1-[(5,6-二氢-6-氧代-11-吗吩烷啶亚基)乙酰]-4-甲基哌嗪。

(E)-1-[(5,6-Dihydro-6-oxo-11-morphanthridinyl idene)acetyl]-4-methylpiperazine.

抗溃疡病药。

Darenzepine.

INN,USAN.

随便看

 

离鸟网收录3541549条中英文词条,其功能与新华字典、现代汉语词典、牛津高阶英汉词典等各类中英文词典类似,基本涵盖了全部常用中英文字词句的读音、释义及用法,是语言学习和写作的有利工具。

 

Copyright © 2004-2024 vtrois.com All Rights Reserved
更新时间:2026/4/7 4:10:38