网站首页  词典首页


请输入您要查询的字词:

 

字词 达加帕米
类别 中英文字词句释义及详细解析
释义 达加帕米

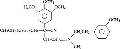
C36H56N2O4=580.85

CAS-85247-76-3

2-[3-[(间-甲氧苯乙基)甲氨基]丙基]-2-(3,4,5-三甲氧苯基)十四烷腈。

2-[3-[(m-Methoxyphenethyl)methylamino]propyl]-2-(3,4,5-trimethoxyphenyl)tetradecanenitrile.

血管扩张药。

Dagapamil.

INN,USAN.

随便看

 

离鸟网收录3541549条中英文词条,其功能与新华字典、现代汉语词典、牛津高阶英汉词典等各类中英文词典类似,基本涵盖了全部常用中英文字词句的读音、释义及用法,是语言学习和写作的有利工具。

 

Copyright © 2004-2024 vtrois.com All Rights Reserved
更新时间:2026/5/25 8:16:49