网站首页  词典首页


请输入您要查询的字词:

 

字词 达可帕泛
类别 中英文字词句释义及详细解析
释义 达可帕泛

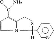
C12H11N3OS=245.30

CAS-125372-33-0

(3R)-3-(3-吡啶基)-1H,3H-吡咯并[1,2c]噻唑-7-羧酰胺。

(3R)-3-(3-Pyridyl)-1H,3H-pyrrolo[1,2-c]thiazole7-carboxamide.

血小板活性因子拮抗药。

Platelet-ativating Factor Antagonist,Dacopafant.

INN,USAN.

随便看

 

离鸟网收录3541549条中英文词条,其功能与新华字典、现代汉语词典、牛津高阶英汉词典等各类中英文词典类似,基本涵盖了全部常用中英文字词句的读音、释义及用法,是语言学习和写作的有利工具。

 

Copyright © 2004-2024 vtrois.com All Rights Reserved
更新时间:2026/4/7 3:21:46