网站首页  词典首页


请输入您要查询的字词:

 

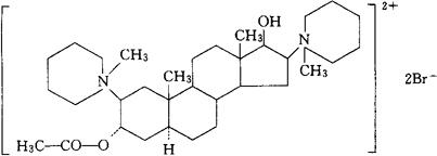
字词 达库溴铵
类别 中英文字词句释义及详细解析
释义 达库溴铵

C33H58Br2N2O3=690.64

CAS-27115-86-2

(3α,17β-二羟-5α-雄甾烷-2β,16β-亚基)双-(1-甲基-哌啶鎓)二溴化物3-醋酸酯。

(3α,17β-Dihydroxy-5α-androstan-2β,16β-ylene)bis(1-methylpiperidinium)dibromide 3-acetate.

神经肌肉阻断药。

Dacuronium Bromide,NB 68.

INN,BAN,USAN.

随便看

 

离鸟网收录3541549条中英文词条,其功能与新华字典、现代汉语词典、牛津高阶英汉词典等各类中英文词典类似,基本涵盖了全部常用中英文字词句的读音、释义及用法,是语言学习和写作的有利工具。

 

Copyright © 2004-2024 vtrois.com All Rights Reserved
更新时间:2026/4/6 21:05:49