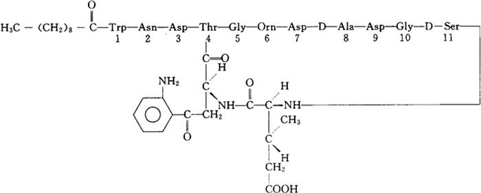
达托霉素
C72H101N17O26=1620.69 CAS-103060-53-3 N-癸酰-L-色氨酰-L-天冬酰胺酰-L-天冬氨酰-L-苏氨酰甘氨酰-L-鸟氨酰-L-天冬氨酰-D-丙氨酰-L-天冬氨酰甘氨酰-D-丝氨酰-苏-3-甲基-L-谷氨酰基-3-氨茴酰-L-丙氨酸ε1-内酯。 N-Decanoyl-L-tryptophyl-L-asparaginyl-L-aspartyl-L-threonylglycyl-L-ornithyl-L-aspartyl-D-alanyl-L-aspartylglycyl-D-seryl-threo-3-methyl-L-glutamyl-3-anthramiloyl-L-alanine e,-lactone. 抗生素类药。 Daptomycin,LY 146032. INN,BAN,USAN.  |