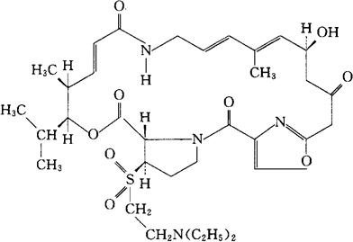
达福斯汀
C34H50N4O9S=690.85 CAS-112362-50-2 (3R,4R,5E,10E,12E,14S,26R,26aS)-26-[[2-(二乙氨基)乙基]磺酰]-8,9,14,15,24,25,26,26a-八氢-14-羟-3-异丙基-4,12-二甲基-3H-21,18-次氮基-1H,22H-吡咯并[2,1c][1,8,4,19]二噁二氮杂环廿四烷-1,7,16,22(4H,7H)-四酮。 (3R,4R,5E,10E,12E,14S,26R,26aS)-26-[[2-(Diethylamino)ethyl]sulfonyl]-8,9,14,15,24,25,26,26a-octahydro-14-hydroxy-3-isopropyl-4,12dimethyl-3H-21,18-nitrilo-1H,22H-pyrrolo[2,1c]-[1,8,4,19]dioxidiazacyclotetracosine-1,7,16,22(4H,7H)-tetrone. 抗菌药。 Dalfopristin. INN,USAN.  |