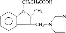
达美格雷
C16H17N3O2=283.33 CAS-76894-77-4 3-(1H-咪唑-1-基甲基)-2-甲基-1H-吲哚-1-丙酸。 1H-Indole-1-propanoic acid,3-(1H-imidazol-1-ylmethyl)-2-methyl-. 3-(咪唑-1-基甲基)-2-甲基吲哚-1-丙酸。 3-(Imidazol-1-ylmethyl)-2-methylindole-1-propionic acid. 抗凝药。 Dazmegrel,UK-38,485. INN,BAN,USAN. 
|