达西(Darcy)定律
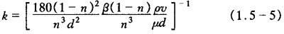
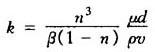
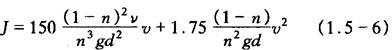
(1)达西实验定律 法国水力学家达西在1856年研究流经装填有均匀砂粒(砂滤)的垂直管内的水流时,得出了著名的达西定律  式中 q——水的流量; K——固有渗透系数,其量纲为[L/T]; A——管的截面积; J——水力梯度, ; φ——测压管水头, ,其中z为从水平基准面算起位置高度,户/γ为压力水头; L——含砂粒层的管道长度。 适用于其它液体有压渗流的流动,常将式(1.5-2)改为  式中 μ——液体的粘度; k——渗透率,其量纲为[L2],若在1个大气压/cm(0.1MPa/cm)的压力梯度下,将粘度为1cP的液体,经每1cm2的截面积渗透过1cm3/s的流量时的k值称为1达西。 而渗透率k与渗透系数K的关系  式中 v——液体的运动粘度; g——重力加速度。 多孔物质的渗透率与物质的空隙率n,液体的物性和流动的雷诺数Re=vd/v有关,Re中的d为组成多孔物质的颗粒直径。k值可按欧根(Ergun)方程来估算,即  当 时的层流  当 为湍流时  式中 d——多孔物质的颗粒直径; ρ——液体密度; β——无量纲参数,对于光滑颗粒取β=1.8,对粗糙颗粒取β=4。 k值也可按表1.5-2查得。 (2)高雷诺数(Re>10)的渗流计算 当雷诺数Re>10以上时,线性的达西定律则有所偏离。尤其是Re>100时,达西定律已不适用。很多学者作了大量的实验研究,则用“渗流的二项式定律”代替达西定律。 欧根1952年提出下式  式中 v——液体的运动粘度: d——多孔物质的颗粒直径; v——液流平均流速。 奥迈德(Ahmad)1967年提出下式  |