网站首页  词典首页


请输入您要查询的字词:

 

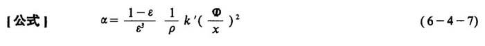
字词 过滤的平均比阻计算
类别 中英文字词句释义及详细解析
释义 过滤的平均比阻计算

[说明]过滤的平均比阻可用Kozeny公式计算,它表示过滤的颗粒层内的流动状态。

式中 α——平均比阻

ε——过滤层污泥内的空隙率(%)

x——污泥颗粒粒径(m)

Φ——形状系数

ρ——污泥密度(kg/m3)

k′——过滤常数

随便看

 

离鸟网收录3541549条中英文词条,其功能与新华字典、现代汉语词典、牛津高阶英汉词典等各类中英文词典类似,基本涵盖了全部常用中英文字词句的读音、释义及用法,是语言学习和写作的有利工具。

 

Copyright © 2004-2024 vtrois.com All Rights Reserved
更新时间:2026/5/31 13:57:10