过盈联接
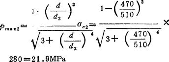
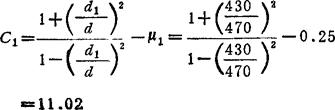
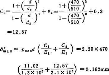
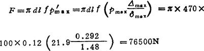
圆柱面过盈联接的受力情况及应力分布见图4.5-8、4.5-9,计算内容及公式参见表4.5-30。 表4.5-30 圆柱面过盈联接的计算(参见图4.5-8) 传递转矩T所需最小压强:  f应选钢-铸铁间摩擦系数范围内之小值。 配合零件允许的最大压强: 齿圈45钢的屈服极限σs2=280MPa。  轮芯为脆性材料,抗压强度很高,不必再计算。 传递转矩T所需最小过盈:   选孔表面粗糙度Ra2=3.2μm,轮芯表面Ra1=1.6μm,查出对应的(表1.7-40)Rz2=12.5μm,Rz1=6.3μm,则δmim=δ′min+1.2(Rz2+Rz1)=0.162+1.2(0.0125+0.0063)=0.185mm。 配合零件允许的最大过盈:  选配合:选H7/s6,孔为 轴(轮芯)为 ,其最大、最小过盈量为△max=0.292mm,△min=0.189mm,满足△min≥δmin;△max<δmax。 压入力F:  |