网站首页  词典首页


请输入您要查询的字词:

 

字词 过程平均不合格品率
类别 中英文字词句释义及详细解析
释义 过程平均不合格品率

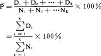
指数批产品初次(不包括第一次检查不合格经过返修再次提交的批)检查时发现的平均不合格品率。其计算公式为:

式中:表示过程平均不合格品率;N1表示第1批产品的批量;D1表示第i批产品中的不合格品数;k表示批数。

随便看

 

离鸟网收录3541549条中英文词条,其功能与新华字典、现代汉语词典、牛津高阶英汉词典等各类中英文词典类似,基本涵盖了全部常用中英文字词句的读音、释义及用法,是语言学习和写作的有利工具。

 

Copyright © 2004-2024 vtrois.com All Rights Reserved
更新时间:2026/4/8 4:09:02